Skip to content

byuflowlab/FLOWUnsteady

Folders and files

NameName
Last commit message
Last commit date

Latest commit

 
 
 
 
 
 
 
 
 
 
 
 
 
 
 
 
 
 
 
 
 

Repository files navigation

FLOWUnsteady logo

Interactional aerodynamics solver for multirotor aircraft and wind energy


FLOWUnsteady is an open-source variable-fidelity framework for unsteady aerodynamics and aeroacoustics based on the reformulated vortex particle method (rVPM). This suite brings together various tools developed by the FLOW Lab at Brigham Young University: Vortex lattice method, strip theory, blade elements, 3D panel method, and rVPM. The suite also integrates an FW-H solver and a BPM code for tonal and broadband prediction of aeroacoustic noise. In the low end of fidelity, simulations are similar to a free-wake method, while in the high end simulations become meshless large eddy simulations.

NOTE (28 Aug 2025): The documentation is temporarily unavailable due to server issues. See the examples/ and docs/ folder in the meantime. It should be back up in the next few days.

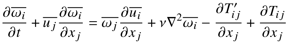
What is the Reformulated VPM?

The reformulated VPM is a meshless CFD method solving the LES-filtered incompressible Navier-Stokes equations in their vorticity form,

img

It uses a Lagrangian (meshless) scheme, which not only avoids the hurdles of mesh generation, but it also conserves vortical structures over long distances with minimal numerical dissipation.

The rVPM uses particles to discretize the Navier-Stokes equations, with the particles representing radial basis functions that construct a continuous vorticity/velocity field. The basis functions become the LES filter, providing a variable filter width and spatial adaptation as the particles are convected and stretched by the velocity field. The local evolution of the filter width provides an extra degree of freedom to reinforce conservation laws, which makes the reformulated VPM numerically stable (overcoming the numerical issues that plague the classic VPM).

This meshless LES has several advantages over conventional mesh-based CFD. In the absence of a mesh,

  1. the rVPM does not suffer from the numerical dissipation introduced by a mesh
  2. integrates over coarser discretizations without losing physical accuracy
  3. derivatives are calculated analytically rather than approximated through a stencil.

Furthermore, rVPM is highly efficient since it uses computational elements only where there is vorticity (rather than meshing the entire space), usually being ~100x faster than conventional mesh-based LES with comparable accuracy.

While rVPM is well suited for resolving unbounded flows (wakes), complications arise when attempting to impose boundary conditions (solid boundaries) on the flow. This is because (1) the method is meshless, and (2) boundary conditions must be imposed on the Navier-Stokes equations in the form of vorticity. FLOWUnsteady is a framework designed to introduce solid boundaries into the rVPM using actuator models. Wings and rotors are introduced in the computational domain through actuator line and surface models that use low-fidelity aerodynamic methods (e.g., VLM, lifting line, panels, etc) to compute forces and embed the associated vorticity back into the LES domain.


youtube.com/watch?v=-6aR37Z6hig

Variable Fidelity

rVPM considerably reduces engineering time by avoiding the hurdles of mesh generation. Furthermore, since it is not limited by the time-step and stability constraints of conventional mesh-based CFD, rVPM can be used across all levels of fidelity, all in the same framework by simply coarsening or refining the simulation. In the low end of fidelity, simulations are similar to a free-wake method, while in the high end simulations become meshless large eddy simulations. Thus, FLOWUnsteady can be used as a high-fidelity tool that is orders of magnitude faster than mesh-based CFD, or as a variable-fidelity tool for the different stages of design.

img

Capabilities

Simulation: Tilting wings and rotors • Rotors with variable RPM and variable pitch • Asymmetric and stacked rotors • Maneuvering vehicle with prescribed kinematics

rVPM Solver: Fast-multipole acceleration through ExaFMM • CPU parallelization through OpenMP • Second-order spatial accuracy and third-order RK time integration • Numerically stable by reshaping particles subject to vortex stretching • Subfilter-scale (SFS) model of turbulence associated to vortex stretching • SFS model coefficient computed dynamically or prescribed • Viscous diffusion through core spreading

Wing Models: Actuator line model through lifting line + VLM • Actuator surface model through vortex sheet + VLM • Parasitic drag through airfoil lookup tables

Rotor Model: Actuator line model through blade elements • Airfoil lookup tables automatically generated through XFOIL • Aeroacoustic noise through FW-H (PSU-WOPWOP) and BPM

Geometry: Simple lofts and bodies of revolution through FLOWUnsteady • Import complex geometry from OpenVSP

Under development (🤞coming soon): Advanced actuator surface models through 3D panel method (for ducts, wings, and fuselage) • Unstructured surface grids • Bluff bodies through vortex sheet method

Limitations: Viscous drag and separation is only captured through airfoil lookup tables, without attempting to shed separation wakes • Incompressible flow only (though wave drag can be captured through airfoil lookup tables) • CPU parallelization through OpenMP without support for distributed memory (no MPI, i.e., only single-node runs)

Coded in the Julia language for Linux, MacOS, and Windows WSL.

More about the models inside FLOWUnsteady:

https://www.nas.nasa.gov/pubs/ams/2022/08-09-22.html


Selected Publications

See the following publications for an in-depth dive into the theory and validation:

  • E. J. Alvarez, J. Mehr, & A. Ning (2022), "FLOWUnsteady: An Interactional Aerodynamics Solver for Multirotor Aircraft and Wind Energy," AIAA AVIATION Forum. [VIDEO] [PDF]
  • E. J. Alvarez (2022), "Reformulated Vortex Particle Method and Meshless Large Eddy Simulation of Multirotor Aircraft.," Doctoral Dissertation, Brigham Young University. [VIDEO] [PDF]
  • E. J. Alvarez & A. Ning (2023), "Stable Vortex Particle Method Formulation for Meshless Large-Eddy Simulation," AIAA Journal. [PDF]


Examples and Tutorials

Propeller: [Tutorial] [Validation]

youtube.com/watch?v=lUIytQybCpQ

Rotor in Hover: [Tutorial] [Validation]

youtube.com/watch?v=u9SgYbYhPpU

Blown Wing: [Tutorial] [Validation]

youtube.com/watch?v=GfS3NoVrFfU

Ducted Fan: [Slides]

youtube.com/watch?v=BQpar3A0X-w

Airborne-Wind-Energy Aircraft: [Video]

img

eVTOL Transition: [Tutorial]

Mid-fidelity

youtube.com/watch?v=d__wNtRIBY8

High-fidelity

youtube.com/watch?v=-6aR37Z6hig

Aeroacoustic Noise: [Tutorial] [Validation]

youtube.com/watch?v=ntQjP6KbZDk

Vid

Sponsors

img


About

FLOWUnsteady is an open-source project jointly led by the FLOW Lab at Brigham Young University and Whisper Aero. All contributions are welcome.

If you find FLOWUnsteady useful in your work, we kindly request that you cite the following paper [URL] [PDF]:

Alvarez, E. J., Mehr, J., and Ning, A., “FLOWUnsteady: An Interactional Aerodynamics Solver for Multirotor Aircraft and Wind Energy,” AIAA AVIATION 2022 Forum, Chicago, IL, 2022. DOI:10.2514/6.2022-3218.

If you were to encounter any issues or have questions, please first read through the documentation, open/closed issues, and the discussion forum. If the issue still persists, please participate in the discussion forum and/or open a new issue.

Packages

No packages published

Contributors 10

Languages